10月3日·Anthropic迎来新CTO,AI基础设施竞争加剧
10月3日·周五 AI工具和资源推荐
AI智库导航-aiguide.cc为您提供最新的AI新闻资讯和最新的AI工具推荐,在这里你可以获得用于营销的AI聊天机器人、AI在商业管理中的应用、用于数据分析的AI工具、机器学习模型、面向企业的AI解决方案、AI在商业客户服务中的应用、AI和自动化工具等。
Anthropic迎来新CTO,AI基础设施竞争加剧
Anthropic近期宣布任命前Stripe首席技术官Rahul Patil为新的首席技术官(CTO),接替联合创始人Sam McCandlish,后者将转任首席架构师。Rahul Patil的加入正值Anthropic面临来自Meta和OpenAI的激烈基础设施竞争之际。Meta计划到2028年底在美国基础设施上投资600亿美元,OpenAI也通过与Oracle和Stargate项目合作强化了基础设施投资。Anthropic在基础设施支出规模尚不明确的情况下,其大模型的优化速度和功耗面临巨大压力。Rahul Patil拥有超过20年的工程经验,曾在Stripe、Oracle、Amazon和Microsoft担任重要技术职位,他的加入有望为Anthropic带来新的转变。来源:微信公众号【机器之心】

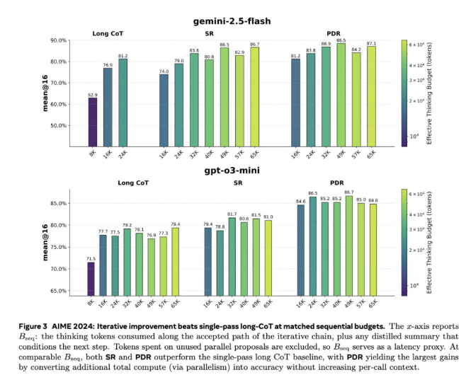
新推理范式PDR,突破LLM长思维链极限
Meta超级智能实验室等机构的研究者提出了一种新的推理方法家族——并行-蒸馏-精炼(Parallel-Distill-Refine,PDR),将大语言模型(LLM)自身视作“改进操作符”,突破了长思维链(long CoT)的极限。PDR方法包含并行生成多样化草稿、蒸馏成有限文本工作区、在此基础上精炼生成输出等步骤,通过调整并行度,可控制上下文长度和计算成本。实验表明,PDR在准确性上优于长思维链,且延迟更低。此外,研究者还训练了一个8B规模的思考模型,使用强化学习使其与PDR推理方法保持一致,在数学任务中取得了显著提升。来源:微信公众号【机器之心】

港大提出TreeSynth方法,系统性生成海量数据
香港大学和香港中文大学的研究团队提出了TreeSynth——一种受决策树启发的树引导子空间数据合成方法。该方法从整个数据空间的根节点出发,通过层层分支将复杂的数据领域逐步细分,直到每个叶节点代表一个独特且互不重叠的数据子空间,从而确保全面而均衡地覆盖整个知识领域。TreeSynth采用两阶段工作流程:数据空间分割和子空间数据合成,具有多样性保证和全面覆盖两大优势。实验结果表明,TreeSynth在多个基准任务上取得了显著的性能提升,展现出优秀的可扩展性和数据多样性。来源:微信公众号【量子位】

Nano Banana开放API,新增实用功能
谷歌的Nano Banana正式开放API,开发者可以将其嵌入自家产品,企业也能批量调用API实现大规模内容生产。同时,Nano Banana新增了两个实用功能:画幅比选择和纯图像生成模式。画幅比选择提供了十多种宽高比,满足不同场景需求;纯图像生成模式则只返回图像,不附带多余文本,更适合纯视觉场景。此外,Nano Banana的API定价为每100万个图像输出token 30.00美元,折算下来每张图片约0.039美元。这一更新进一步推动了Nano Banana向实用工具的定位发展。来源:微信公众号【量子位】

华科大白翔团队推出多模态新框架LIRA
华中科技大学团队和金山办公团队联合提出了多模态大模型LIRA,通过语义增强特征提取器(SEFE)和交错局部视觉耦合(ILVC)两个核心模块,解决了现有模型在物体属性理解上的不足以及细粒度感知能力的局限,实现了在分割和理解两项任务上的双重SOTA。SEFE融合语义特征与像素级特征,提升物体属性推理能力;ILVC基于分割掩码提取局部特征后自回归生成局部描述,为模型提供细粒度监督,减少理解幻觉。实验结果表明,LIRA在多个理解和分割数据集上取得了优异表现,优于先前最佳方法OMG-LLaVA。来源:微信公众号【量子位】
